转载: 浅谈Java中的深拷贝和浅拷贝
假如说你想复制一个简单变量。很简单:
int apples = 5;
int pears = apples;
不仅仅是int类型,其它七种原始数据类型(boolean,char,byte,short,float,double.long)同样适用于该类情况。
但是如果你复制的是一个对象,情况就有些复杂了。
假设说我是一个beginner,我会这样写:
class Student {
private int number;
public int getNumber() {
return number;
}
public void setNumber(int number) {
this.number = number;
}
}
public class Test {
public static void main(String args[]) {
Student stu1 = new Student();
stu1.setNumber(12345);
Student stu2 = stu1;
System.out.println("学生1:" + stu1.getNumber());
System.out.println("学生2:" + stu2.getNumber());
}
}
学生1:12345
学生2:12345
这里我们自定义了一个学生类,该类只有一个number字段。
我们新建了一个学生实例,然后将该值赋值给stu2实例。(Student stu2 = stu1;)
再看看打印结果,作为一个新手,拍了拍胸腹,对象复制不过如此,
难道真的是这样吗?
我们试着改变stu2实例的number字段,再打印结果看看:
stu2.setNumber(54321);
System.out.println("学生1:" + stu1.getNumber());
System.out.println("学生2:" + stu2.getNumber());
打印结果:
学生1:54321
学生2:54321
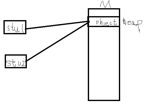
这就怪了,为什么改变学生2的学号,学生1的学号也发生了变化呢?
原因出在(stu2 = stu1) 这一句。该语句的作用是将stu1的引用赋值给stu2,
这样,stu1和stu2指向内存堆中同一个对象。如图:
那么,怎样才能达到复制一个对象呢?
是否记得万类之王Object。它有11个方法,有两个protected的方法,其中一个为clone方法。
该方法的签名是:
protected native Object clone() throws CloneNotSupportedException;
因为每个类直接或间接的父类都是Object,因此它们都含有clone()方法,但是因为该方法是protected,所以都不能在类外进行访问。
要想对一个对象进行复制,就需要对clone方法覆盖。
一般步骤是(浅复制):
1、 被复制的类需要实现Clonenable接口(不实现的话在调用clone方法会抛出CloneNotSupportedException异常) 该接口为标记接口(不含任何方法)
2、 覆盖clone()方法,访问修饰符设为public。方法中调用super.clone()方法得到需要的复制对象,(native为本地方法)
下面对上面那个方法进行改造:
class Student implements Cloneable{
private int number;
public int getNumber() {
return number;
}
public void setNumber(int number) {
this.number = number;
}
@Override
public Object clone() {
Student stu = null;
try{
stu = (Student)super.clone();
}catch(CloneNotSupportedException e) {
e.printStackTrace();
}
return stu;
}
}
public class Test {
public static void main(String args[]) {
Student stu1 = new Student();
stu1.setNumber(12345);
Student stu2 = (Student)stu1.clone();
System.out.println("学生1:" + stu1.getNumber());
System.out.println("学生2:" + stu2.getNumber());
stu2.setNumber(54321);
System.out.println("学生1:" + stu1.getNumber());
System.out.println("学生2:" + stu2.getNumber());
}
}
打印结果:
学生1:12345
学生2:12345
学生1:12345
学生2:54321
如果你还不相信这两个对象不是同一个对象,那么你可以看看这一句:
System.out.println(stu1 == stu2); // false
上面的复制被称为浅复制(Shallow Copy),还有一种稍微复杂的深度复制(deep copy):
我们在学生类里再加一个Address类。
class Address {
private String add;
public String getAdd() {
return add;
}
public void setAdd(String add) {
this.add = add;
}
}
class Student implements Cloneable{
private int number;
private Address addr;
public Address getAddr() {
return addr;
}
public void setAddr(Address addr) {
this.addr = addr;
}
public int getNumber() {
return number;
}
public void setNumber(int number) {
this.number = number;
}
@Override
public Object clone() {
Student stu = null;
try{
stu = (Student)super.clone();
}catch(CloneNotSupportedException e) {
e.printStackTrace();
}
return stu;
}
}
public class Test {
public static void main(String args[]) {
Address addr = new Address();
addr.setAdd("杭州市");
Student stu1 = new Student();
stu1.setNumber(123);
stu1.setAddr(addr);
Student stu2 = (Student)stu1.clone();
System.out.println("学生1:" + stu1.getNumber() + ",地址:" + stu1.getAddr().getAdd());
System.out.println("学生2:" + stu2.getNumber() + ",地址:" + stu2.getAddr().getAdd());
}
}
打印结果:
学生1:123,地址:杭州市
学生2:123,地址:杭州市
乍一看没什么问题,真的是这样吗?
我们在main方法中试着改变addr实例的地址。
addr.setAdd("西湖区");
System.out.println("学生1:" + stu1.getNumber() + ",地址:" + stu1.getAddr().getAdd());
System.out.println("学生2:" + stu2.getNumber() + ",地址:" + stu2.getAddr().getAdd());
打印结果:
学生1:123,地址:杭州市
学生2:123,地址:杭州市
学生1:123,地址:西湖区
学生2:123,地址:西湖区
这就奇怪了,怎么两个学生的地址都改变了?
原因是浅复制只是复制了addr变量的引用,并没有真正的开辟另一块空间,将值复制后再将引用返回给新对象。
所以,为了达到真正的复制对象,而不是纯粹引用复制。我们需要将Address类可复制化,并且修改clone方法,完整代码如下:
package abc;
class Address implements Cloneable {
private String add;
public String getAdd() {
return add;
}
public void setAdd(String add) {
this.add = add;
}
@Override
public Object clone() {
Address addr = null;
try{
addr = (Address)super.clone();
}catch(CloneNotSupportedException e) {
e.printStackTrace();
}
return addr;
}
}
class Student implements Cloneable{
private int number;
private Address addr;
public Address getAddr() {
return addr;
}
public void setAddr(Address addr) {
this.addr = addr;
}
public int getNumber() {
return number;
}
public void setNumber(int number) {
this.number = number;
}
@Override
public Object clone() {
Student stu = null;
try{
stu = (Student)super.clone(); //浅复制
}catch(CloneNotSupportedException e) {
e.printStackTrace();
}
stu.addr = (Address)addr.clone(); //深度复制
return stu;
}
}
public class Test {
public static void main(String args[]) {
Address addr = new Address();
addr.setAdd("杭州市");
Student stu1 = new Student();
stu1.setNumber(123);
stu1.setAddr(addr);
Student stu2 = (Student)stu1.clone();
System.out.println("学生1:" + stu1.getNumber() + ",地址:" + stu1.getAddr().getAdd());
System.out.println("学生2:" + stu2.getNumber() + ",地址:" + stu2.getAddr().getAdd());
addr.setAdd("西湖区");
System.out.println("学生1:" + stu1.getNumber() + ",地址:" + stu1.getAddr().getAdd());
System.out.println("学生2:" + stu2.getNumber() + ",地址:" + stu2.getAddr().getAdd());
}
}
打印结果:
学生1:123,地址:杭州市
学生2:123,地址:杭州市
学生1:123,地址:西湖区
学生2:123,地址:杭州市
这样结果就符合我们的想法了。
最后我们可以看看API里其中一个实现了clone方法的类:
java.util.Date:
/**
* Return a copy of this object.
*/
public Object clone() {
Date d = null;
try {
d = (Date)super.clone();
if (cdate != null) {
d.cdate = (BaseCalendar.Date) cdate.clone();
}
} catch (CloneNotSupportedException e) {} // Won't happen
return d;
}
该类其实也属于深度复制。
