@[toc] 今天是五一假期第一天,这里先给大家拜个晚 咳咳!!祝大家五一快乐,我这里给大家奉上一篇硬核教程。首先声明,这篇文章不是教你如何写正则表达式,而是教你写一个能执行正则表达式的执行引擎。 网上教你写正则表达式的文章、教程很多,但教你写引擎的并不多。很多人认为我就是用用而已,没必要理解那么深,但知道原理是在修炼内功,正则表达式底层原理并不单单是用在这,而是出现在计算机领域的各个角落。理解原理可以让你以后写字符串匹配时正则表达式能够信手拈来,理解原理也是触类旁通的基础。废话不多说,直接开始正式内容。
本文是我个人做的动手实践性项目,所以未完整支持所有语法,而且因为是用NFA实现的所以性能比生产级的执行引擎差好多。目前源码已开放至github.com/xindoo/rege…,后续会继续更新,欢迎Star、Fork 提PR。
目前支持的正则语义如下:
- 基本语法: **. ? * + () |**
- 字符集合: []
- 特殊类型符号: \d \D \s \S \w \W
前置知识
声明:本文不是入门级的文章,所以如果你想看懂后文的内容,需要具备以下的基本知识。
1、 基本的编程知识,虽然这里我是用java写的,但并不要求懂java,懂其他语法也行,基本流程都是类似,就是语法细节不同。
2、 了解正则表达式,知道简单的正则表达式如何写。
3、 基本的数据结构知识,知道有向图的概念,知道什么是递归和回溯。
有限状态机
有限状态机(Finite-state machine),也被称为有限状态自动机(finite-state automation),是表示有限个状态以及在这些状态之间的转移和动作等行为的数学计算模型(From 维基百科 状态机) 。 听起来晦涩难懂,我用大白话描述一遍,状态机其实就是用图把状态和状态之间的关系描述出来,状态机中的一个状态可以在某些给定条件下变成另外一种状态。举个很简单的例子你就懂了。
比如我今年18岁,我现在就是处于18岁的状态,如果时间过了一年,我就变成19岁的状态了,再过一年就20了。当然我20岁时时光倒流2年我又可以回到18岁的状态。这里我们就可以把我的年龄状态和时间流逝之间的关系用一个自动机表示出来,如下。 
有了状态机之后,我们就可以用状态机来描述特定的模式,比如上图就是年龄随时间增长的模式。如果有人说我今年18岁,1年后就20岁了。照着上面的状态机我们来算下,1年后你才19岁,你这不是瞎说吗! 没错,状态机可以来判定某些内容是否符合你状态机描述的模式了。哟,一不小心就快扯到正则表达式上了。 我们这里再引入两种特殊的状态:起始态和接受态(终止态),见名知意,不用我过多介绍了吧,起始态和终止态的符号如下。


状态机下的正则表达式
我们再来引入一条特殊的边,学名叫$\epsilon$闭包(emm!看到这些符号我就回想起上学时被数学支配的恐惧),其实就是一条不需要任何条件就能转移状态的边。

有了 $\epsilon$闭包的加持,我们就可以开始学如何画正则表达式文法对应的状态机了。
串联匹配
首先来看下纯字符匹配的自动机,其实上面已经给过一个”zxs”的例子了,这里再贴一下,其实就是简单地用字符串在一起而已,如果还有其他字符,就继续往后串。 
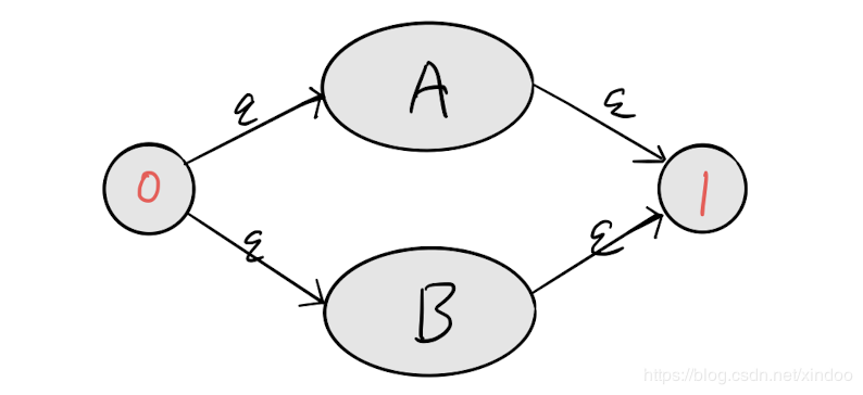
并连匹配 (正则表达式中的 |)
正则表达式中的| 标识二选一都可以,比如A|B A能匹配 B也能匹配,那么A|B就可以表示为下面这样的状态图。 
重复匹配(正则表达式中的 ? + *)
正则表达式里有4中表示重复的方式,分别是:
1、 ?重复0-1次
2、 * 重复1次以上
3、 * 重复0次以上
4、 {n,m} 重复n到m次
我来分别画下这4种方式如何在状态机里表示。
#### 重复0-1次 ? ####
![83\_8.png][83_8.png] 0状态可以通过E也可以依赖$\\epsilon$直接跳过E到达1状态,实现E的0次匹配。
重复1次以上

重复0次以上

匹配指定次数

特殊符号(正则表达式中的 . \d \s……)
正则表达式中还支持很多某类的字符,比如.表示任意非换行符,\d标识数字,[]可以指定字符集…… ,其实这些都和图的形态无关,只是某调特殊的边而已,自己实现的时候可以选择具体的实现方式,比如后面代码中我用了策略模式来实现不同的匹配策略,简化了正则引擎的代码。
子表达式(正则表达式 () )
子表达可以Tompson算法,其实就是用递归去生成()中的子图,然后把子图拼接到当前图上面。(什么Tompson说的那么高大上,不就是递归吗!)
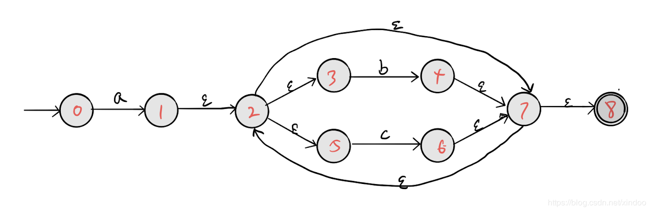
练习题
来联系画下 a(a|b)* 的状态图,这里我也给出我画的,你可以参考下。
代码实现
建图
看完上文之后相信你一直知道如果将一个正则表达式转化为状态机的方法了,这里我们要将理论转化为代码。首先我们要将图转化为代码标识,我用State表示一个节点,其中用了Map<MatchStrategy, List> next表示其后继节点,next中有个key-value就是一条边,MatchStrategy用来描述边的信息。
public class State {
private static int idCnt = 0;
private int id;
private int stateType;
public State() {
this.id = idCnt++;
}
Map<MatchStrategy, List<State>> next = new HashMap<>();
public void addNext(MatchStrategy path, State state) {
List<State> list = next.get(path);
if (list == null) {
list = new ArrayList<>();
next.put(path, list);
}
list.add(state);
}
protected void setStateType() {
stateType = 1;
}
protected boolean isEndState() {
return stateType == 1;
}
}
NFAGraph表示一个完整的图,其中封装了对图的操作,比如其中就实现了上文中图串 并连和重复的操作(注意我没有实现{})。
public class NFAGraph {
public State start;
public State end;
public NFAGraph(State start, State end) {
this.start = start;
this.end = end;
}
// |
public void addParallelGraph(NFAGraph NFAGraph) {
State newStart = new State();
State newEnd = new State();
MatchStrategy path = new EpsilonMatchStrategy();
newStart.addNext(path, this.start);
newStart.addNext(path, NFAGraph.start);
this.end.addNext(path, newEnd);
NFAGraph.end.addNext(path, newEnd);
this.start = newStart;
this.end = newEnd;
}
//
public void addSeriesGraph(NFAGraph NFAGraph) {
MatchStrategy path = new EpsilonMatchStrategy();
this.end.addNext(path, NFAGraph.start);
this.end = NFAGraph.end;
}
// * 重复0-n次
public void repeatStar() {
repeatPlus();
addSToE(); // 重复0
}
// ? 重复0次哦
public void addSToE() {
MatchStrategy path = new EpsilonMatchStrategy();
start.addNext(path, end);
}
// + 重复1-n次
public void repeatPlus() {
State newStart = new State();
State newEnd = new State();
MatchStrategy path = new EpsilonMatchStrategy();
newStart.addNext(path, this.start);
end.addNext(path, newEnd);
end.addNext(path, start);
this.start = newStart;
this.end = newEnd;
}
}
整个建图的过程就是依照输入的字符建立边和节点之间的关系,并完成图的拼接。
private static NFAGraph regex2nfa(String regex) {
Reader reader = new Reader(regex);
NFAGraph NFAGraph = null;
while (reader.hasNext()) {
char ch = reader.next();
MatchStrategy matchStrategy = null;
switch (ch) {
// 子表达式特殊处理
case '(' : {
String subRegex = reader.getSubRegex(reader);
NFAGraph newNFAGraph = regex2nfa(subRegex);
checkRepeat(reader, newNFAGraph);
if (NFAGraph == null) {
NFAGraph = newNFAGraph;
} else {
NFAGraph.addSeriesGraph(newNFAGraph);
}
break;
}
// 或表达式特殊处理
case '|' : {
String remainRegex = reader.getRemainRegex(reader);
NFAGraph newNFAGraph = regex2nfa(remainRegex);
if (NFAGraph == null) {
NFAGraph = newNFAGraph;
} else {
NFAGraph.addParallelGraph(newNFAGraph);
}
break;
}
case '[' : {
matchStrategy = getCharSetMatch(reader);
break;
}
case '^' : {
break;
}
case '$' : {
break;
}
case '.' : {
matchStrategy = new DotMatchStrategy();
break;
}
// 处理特殊占位符
case '\\' : {
char nextCh = reader.next();
switch (nextCh) {
case 'd': {
matchStrategy = new DigitalMatchStrategy(false);
break;
}
case 'D': {
matchStrategy = new DigitalMatchStrategy(true);
break;
}
case 'w': {
matchStrategy = new WMatchStrategy(false);
break;
}
case 'W': {
matchStrategy = new WMatchStrategy(true);
break;
}
case 's': {
matchStrategy = new SpaceMatchStrategy(false);
break;
}
case 'S': {
matchStrategy = new SpaceMatchStrategy(true);
break;
}
// 转义后的字符匹配
default:{
matchStrategy = new CharMatchStrategy(nextCh);
break;
}
}
break;
}
default : { // 处理普通字符
matchStrategy = new CharMatchStrategy(ch);
break;
}
}
// 表明有某类单字符的匹配
if (matchStrategy != null) {
State start = new State();
State end = new State();
start.addNext(matchStrategy, end);
NFAGraph newNFAGraph = new NFAGraph(start, end);
checkRepeat(reader, newNFAGraph);
if (NFAGraph == null) {
NFAGraph = newNFAGraph;
} else {
NFAGraph.addSeriesGraph(newNFAGraph);
}
}
}
return NFAGraph;
}
private static void checkRepeat(Reader reader, NFAGraph newNFAGraph) {
char nextCh = reader.peak();
switch (nextCh) {
case '*': {
newNFAGraph.repeatStar();
reader.next();
break;
} case '+': {
newNFAGraph.repeatPlus();
reader.next();
break;
} case '?' : {
newNFAGraph.addSToE();
reader.next();
break;
} case '{' : {
//
break;
} default : {
return;
}
}
}
这里我用了设计模式中的策略模式将不同的匹配规则封装到不同的MatchStrategy类里,目前我实现了**. \d \D \s \S \w \w,具体细节请参考代码。这么设计的好处就是简化了匹配策略的添加,比如如果我想加一个\x** 只匹配16进制字符,我只需要加个策略类就好了,不必改很多代码。
匹配
其实匹配的过程就出从起始态开始,用输入作为边,一直往后走,如果能走到终止态就说明可以匹配,代码主要依赖于递归和回溯,代码如下。
public boolean isMatch(String text) {
return isMatch(text, 0, nfaGraph.start);
}
private boolean isMatch(String text, int pos, State curState) {
if (pos == text.length()) {
if (curState.isEndState()) {
return true;
}
return false;
}
for (Map.Entry<MatchStrategy, List<State>> entry : curState.next.entrySet()) {
MatchStrategy matchStrategy = entry.getKey();
if (matchStrategy instanceof EpsilonMatchStrategy) {
for (State nextState : entry.getValue()) {
if (isMatch(text, pos, nextState)) {
return true;
}
}
} else {
if (!matchStrategy.isMatch(text.charAt(pos))) {
continue;
}
// 遍历匹配策略
for (State nextState : entry.getValue()) {
if (isMatch(text, pos + 1, nextState)) {
return true;
}
}
}
}
return false;
}
下集预告
还有下集?没错,虽然到这里已经是实现了一个基本的正则表达式引擎,但距离可用在生产环境还差很远,预告如下。
功能完善化
本身上面的引擎对正则语义支持不是很完善,后续我会继续完善代码,有兴趣可以收藏下源码github.com/xindoo/rege…,但应该不会出一篇新博客了,因为原理性的东西都在这里,剩下的就是只是一些编码工作 。
DFA引擎
上文只是实现了NFA引擎,NFA的引擎建图时间复杂度是O(n),但匹配一个长度为m的字符串时因为涉及到大量的递归和回溯,最坏时间复杂度是O(mn)。与之对比DFA引擎的建图时间复杂度O(n^2),但匹配时没有回溯,所以匹配复杂度只有O(m),性能差距还是挺大的。
DFA引擎实现的大体流程是先构造NFA(本文内容),然后用子集构造法将NFA转化为DFA,预计未来我会出一篇博客讲解细节和具体实现。
正则引擎优化
首先DFA引擎是可以继续优化的,使用Hopcroft算法可以近一步将DFA图压缩,更少的状态节点更少的转移边可以实现更好的性能。其次,目前生产级的正则引擎很多都不是单纯用NFA或者DFA实现的,而是二者的结合,不同正则表达式下用不同的引擎可以达到更好的综合性能,简单说NFA图小但要回溯,DFA不需要回溯但有些情况图会特别大。敬请期待我后续博文。
本文由博客一文多发平台 OpenWrite 发布!

